说明:费米能级(Fermi level)是凝聚态物理和半导体物理中的核心概念,它定义了在绝对零度时电子填充的最高能级,并决定了材料中电子的统计分布行为。
这一概念由恩里科·费米提出,遵循费米–狄拉克统计规律,对理解金属、半导体和绝缘体的电学特性至关重要。以下将从基本定义、物理图像、数学表达、温度依赖性、材料表征及实验测量等方面展开详述。
费米能级的定义
。从量子力学角度看,电子作为费米子遵循泡利不相容原理,其能量分布由费米-狄拉克统计描述:

EF。在绝对零度(T=0K)时,该函数呈阶跃形态——所有低于EF的能态完全空置。此时EF例如金属钠中,EF∝n2/3的关系,这源于自由电子气的模型。当温度升高时,热能激发使部分电子跃迁至高于EF的能态出现空穴,分布函数在EF处占据概率恒为1/2。这种统计行为奠定了半导体器件、纳米材料乃至超导体研究的理论基础。

费米能级在能带结构中的位置
。金属的典型特征是费米能级位于导带内部,如能带图示:真空能级(Evac)嵌入导带中,电子可自由移动形成电流。金属功函数Φ=Evac表示电子逸出所需的最小能量。
价带(Eg穿过导带,绝缘体的EF>4eV),半导体的EF这种差异导致载流子浓度显著不同——金属高达1022cm-3,半导体仅1010–1018cm-3。尤其值得注意的是,半导体中EFn型半导体向导带底ECp型半导体移向价带顶EV本征半导体的载流子浓度由

、NVEF;对p型材料,

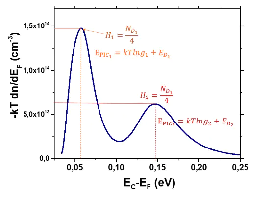
Nd时,EF接近导带底时,室温下EF+kTln(NdNC升至T4从带隙深处向导带移动,导致自由电子密度n0这种温度依赖性200-400°C工作时,深能级杂质完全电离,EF位置敏感受表面吸附气体调制,从而改变体电导率。


量子限域效应使费米能级行为显著偏离体材料。有学者指出,当量子点尺寸小于激子玻尔半径时(如CdSe约附近的呈现δ函数特征。量子点尺寸减小导致带隙Eg∝1/d2例如直径3nm的CdSe量子点带隙达2.3eV,较体材料 (1.74eV) 蓝移0.56eV,其荧光波长可通过尺寸精确调控。表面态的影响亦不可忽视:量子点表面”悬挂键”在带隙中引入缺陷能级,可能钉扎EFInAs/GaAs量子点异质结构示意中,量子点在GaAs禁带内形成窄”迷你带”,其EF计算密度泛函理论其中g(ϵ)为态密度,Ne。
需满足

实验上可通过多种手段探测。下图展示了温度对EF从20K时的15meV降至160K时的1meV,同时费米分布函数尾部展宽。
>mp随温度线性下降;mn时保持恒定;mn时则上升。热容测量亦能反映EF∝γT中的系数γ正比于g(EF-T曲线的振荡可反推能级结构。

在超导研究中,。能带图示出铁基超导体FeSe在奈尔温度Tnem)的圆形电子袋在低温相分裂为沿Γ-M方向的椭圆口袋,表明自旋密度波导致的能带折叠。
YBa₂Cu₃O₆ₓ这些重构直接影响超导能隙分布,如通过Raman光谱证实:伪能隙态导致B1g散射峰位置偏移,反映EF综上,。从宏观的导电类型调控(如n/p型半导体设计)到微观的量子态操纵(如量子点能带工程),其核心地位贯穿多尺度研究。
的(如石墨烯的狄拉克点调控)、强关联体系中的(如Mott相变),以及拓扑材料中受保护的(如外尔半金属的费米弧),这些方向持续推动着新一代电子器件的革新。