时间,作为我们日常生活中最为基本的概念之一,几乎无时不刻不在影响着我们的感知与存在。从钟表的滴答声到日夜更替,时间似乎是一个稳定且绝对的背景,在其框架内万物得以运转。然而,随着科学的进步,尤其是相对论的提出,我们开始意识到,时间并非绝对不变。事实上,在极端的条件下,时间可以被扭曲、延展或收缩。本文将探讨时间的本质以及它在特定物理条件下的奇异变化。

时间的本质:从经典到相对论
在牛顿的经典力学中,时间被视为绝对的和线性的,它独立于物质存在。无论我们在哪里,时间以恒定的速度流逝,过去、现在、未来的划分清晰明确。牛顿的绝对时间观念成为了西方科学思想中持续了几个世纪的基础。然而,这一简单的时间观被爱因斯坦的相对论所彻底颠覆。

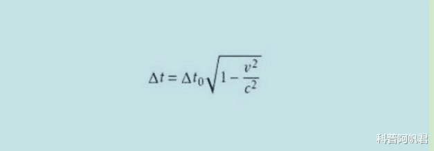
爱因斯坦于1905年提出的狭义相对论(Special Relativity)和1915年的广义相对论(General Relativity)改变了我们对时间的理解。在狭义相对论中,时间和空间不再是独立的实体,它们融合成了所谓的时空(spacetime)。时间的流逝与观察者的运动状态密切相关。对于快速运动的物体来说,时间流逝变慢——这一现象被称为**时间膨胀**。例如,当一个物体以接近光速运动时,时间对它来说会比静止的观察者流逝得慢。这意味着时间并不是固定的,它是相对的。
在广义相对论中,爱因斯坦进一步展示了引力也会影响时间的流逝。强大的引力场会使时间流逝得更慢,这一现象称为**引力时间膨胀**。这是因为引力影响了时空的曲率,改变了时间在不同位置的流速。距离地球中心更近的地方,由于重力更强,时间流逝得比远离地球的地方慢。广义相对论解释了许多引力效应,也使得我们意识到,时间在极端的宇宙环境中可能发生极为显著的扭曲。

时间的扭曲现象
随着对宇宙的探索加深,我们发现了一些能够大幅扭曲时间的极端条件。以下几个场景展示了时间如何在这些条件下发生变化。
高速运动与时间膨胀
如狭义相对论所述,物体运动速度接近光速时,时间会变慢。假设一艘宇宙飞船以99.9%光速飞行,船员们可能只经历几年的时间,而地球上的时间却可能已经过去了几千年。这个现象已经在实验中得到证实,例如高速粒子加速器中的带电粒子,其寿命会随着速度的增加而延长。
时间膨胀的效果使得高速旅行者能够“跳跃”至未来,至少相对于静止的观察者。这一现象引发了关于时间旅行的广泛讨论,但根据目前的物理理解,时间膨胀只能使未来变得更接近,而无法回到过去。

2. 引力场与引力时间膨胀
在强大的引力场中,时间流逝会变得更慢。根据广义相对论,在黑洞附近的时空极度弯曲,时间几乎会停止。对于远离黑洞的人来说,靠近黑洞的物体似乎会无限缓慢地运动,因为它们的时间几乎被“冻结”了。这种效应在科幻电影中常常被描绘,例如在《星际穿越》中的某个星球,距离黑洞很近,一小时的时间相当于地球上的七年。

引力时间膨胀不仅在黑洞附近显著,在较小的引力场中也能测量出来。GPS卫星就是一个很好的例子。由于它们在较弱的地球引力场中运行,时间流逝比地球表面略快。为确保GPS的准确性,科学家必须根据广义相对论调整卫星上的时钟。
3. 宇宙大爆炸与温度极限
在宇宙大爆炸后的最初时刻,宇宙的密度和温度极高,时间的概念也变得极为复杂。量子引力理论预示着在奇点附近时空极度弯曲,时间可能会“消失”或以难以理解的方式运作。这一领域尚未被完全理解,但在宇宙最初的瞬间,时间的行为与我们今天的经验截然不同。
4. 黑洞的事件视界与时间的终结
黑洞是宇宙中最极端的天体之一,它们具有如此强大的引力,甚至光都无法逃脱其引力束缚。在黑洞的“事件视界”处,时间几乎停止。对于观察者而言,任何靠近事件视界的物体似乎永远不会穿过这一界限,而是会无限接近。这种极端的时间扭曲使得黑洞成为研究时间本质的关键对象。
但对于落入黑洞的物体来说,时间是继续流逝的,只是外部观察者看不到它的完整经历。进入黑洞的物体可能会经历极端的时空弯曲,最终到达奇点,那里是时间和空间的终结。
时间与我们的日常生活
虽然我们讨论的时间扭曲现象通常只发生在极端条件下,但它们确实影响了我们日常生活的许多方面。GPS技术依赖于相对论的时间校正,科学家通过高速粒子实验验证了时间膨胀,天文学家也利用这些理论来解释宇宙中天体的运动与变化。
时间并非我们直观感受的线性、固定背景,而是相对的、动态的,受速度、引力等多种因素影响。理解时间的本质及其扭曲现象,不仅改变了我们对宇宙的认识,也深刻影响了我们对现实的理解。
评论列表