报录比是非常重要的择校参考数据,能反映一个院校,一个专业的报考热度,报录比越高,也代表报考越热,这几所院校公布了24考研报录比,我们赶紧查看收藏!
一、上海大学
上海大学位于上海,是热门211,但报录比在不同专业中,差异很大,比如冶金工程、材料与化工专业等,报录比1.5:1之内,竞争压力真的很小,大概率努力一点就能被录取,,多数专业报录比在5:1上下。
而热门专业,报录比则多在10:1上下,如法律非法学报录比8.4:1,法律法学报录比9.9:1,国际中文9.2:1,应用经济学10.6:1,金融9.9:1;个别超级热门的专业,报录比更高,比如管科的报录比,就达到了15.2:1.




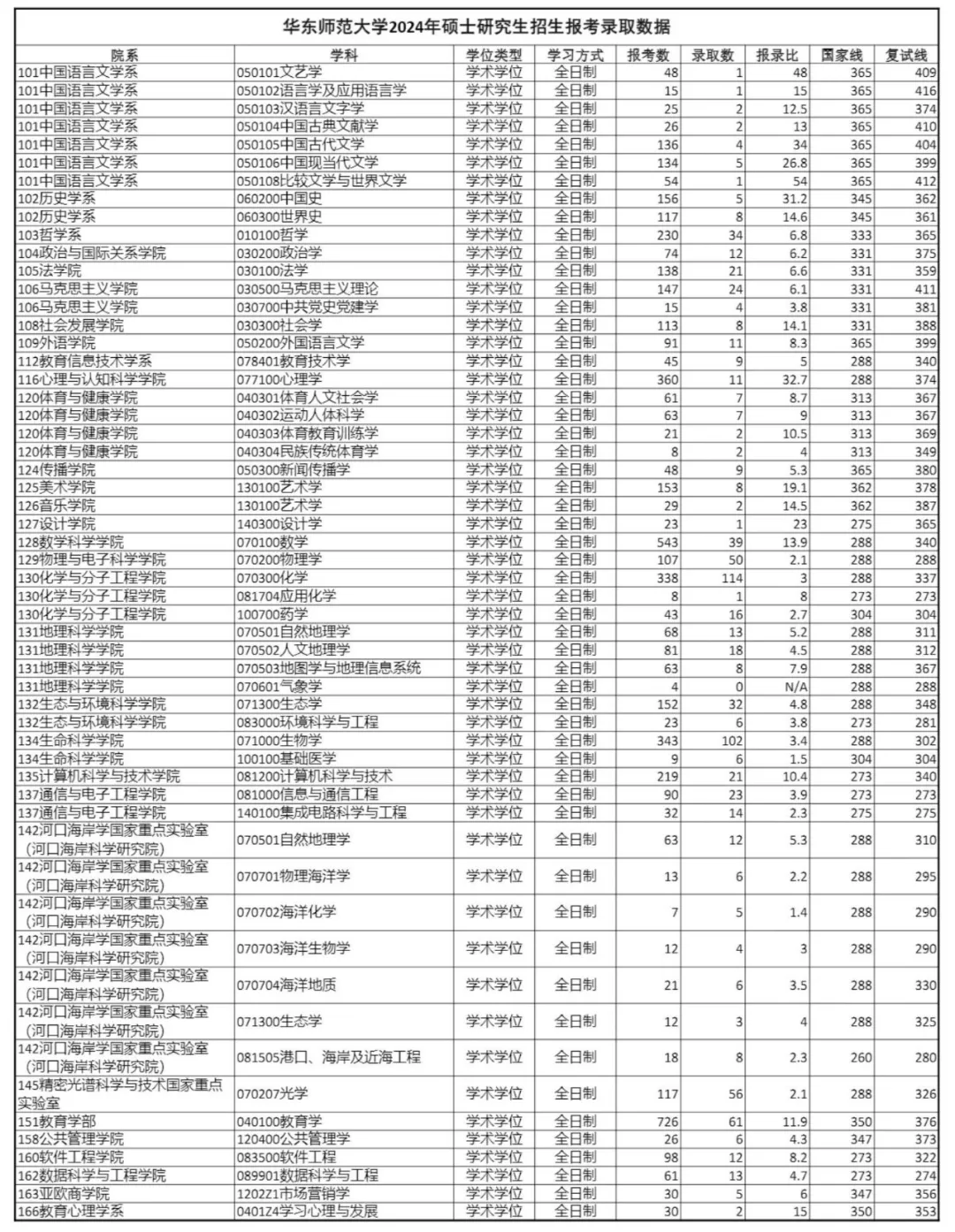
二、华东师范大学
华东师范大学是上海的老牌985院校,实力强悍,每年报考热度很高,24年总计报考人数近2.3万,拟招录人数约5500人,整体报录比4.2:1左右。
具体到各专业,华东师范大学的报录比很高,报录比超过10:1的专业,就超过30个,艺术学、应用心理、设计、学科英语等专业报录比在20:1左右,中国史、心理学、中国现当代文学的报录比在30:1左右,文艺学报录比最高,达到48:1,竞争十分惨烈。



三、首都经济贸易大学
首都经济贸易大学24年报考7000人左右,一志愿招录1700人左右,整体报录比4.2:1左右,与华东师范大学不相上下。
具体到各专业,企业管理、审计硕士等专业报录比较高,在10:1左右,报录比最高的专业是法律非法学,报录比12.4:1。
